医学科普
发表者:盛景祖 人已读
1定义
痒疹是一种以孤立性、多发性丘疹、结节伴剧痒为特征的反应性皮肤病。部分皮疹因为搔抓可伴顶部剥蚀。
2分类
2.1临床分型
依据临床特征可分为:
(特定类型:色素性痒疹,发病机制不同于本指南所述痒疹)
2.2病因分型
3流行病学
结节性痒疹常中年后发病。
女性多见。
痒疹是HIV患者的常见皮肤病,患病率约24%-36%。
痒疹亦见于代谢性疾病、幽门螺旋杆菌感染、肾脏透析等。
4发病机制
具体不详。
5临床症状
5.1结节性痒疹(包括Hyde结节性痒疹)
质硬、角化过度性、穹顶状、疣状结节,深棕色,直径约1cm。
主要累及四肢,亦可累及躯干。
单个皮损可持续数月,组织病理以不规则棘层增厚为特征。
5.2多形性慢性痒疹
常累及老年人的腹部、臀部、股外侧,有时可累及心前区、肩胛区。
起初为高度瘙痒性荨麻疹样丘疹,最终变为坚实丘疹。
可自肤色至淡棕色。
搔抓可致风团及荨麻疹样红斑。
丘疹可呈孤立性,或簇集、融合、苔藓化。
单个皮疹生命周期约数周。
5.3鉴别诊断
需与疥疮、暂时性棘层松解性皮病、大疱性类天疱疮、结节性类天疱疮、痒疹样大疱性表皮松解症、获得性反应性穿通性胶原病、Kylre’s病、穿通性毛囊炎等鉴别。
6实验室检查
白细胞计数常无异常,嗜酸性粒细胞可轻度升高。
IgE水平可正常或轻度升高,显著升高者需考虑痒疹样特应性皮炎。
伴剧痒、皮损广泛、治疗抵抗、皮损顽固且呈慢性进行性者,推荐行广泛检查,包括病史、血液及影像学检查以筛查系统性疾病,如内分泌疾病(痛风、糖尿病)、代谢疾病、肾脏疾病、肝胆疾病、血液疾病(霍奇金病、淋巴瘤、真性红细胞增多症)、内脏恶性肿瘤等。
痒疹可发生于孕早期及孕中期,给予卵泡诱导药物、孕酮治疗的女性,雄激素缺乏的男性。
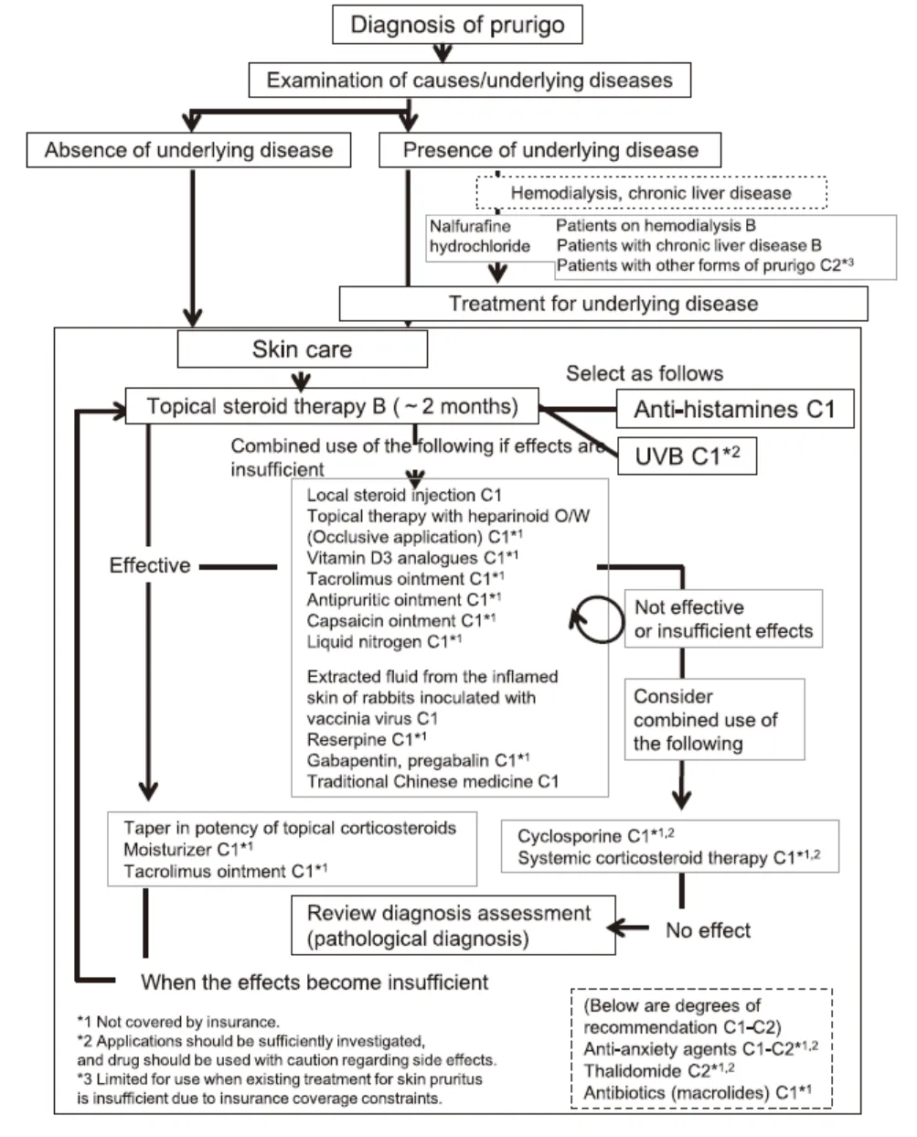
7治疗流程

8临床问题
8.1外用及系统激素治疗痒疹有效?
外用激素有效,可作为一线用药。但应避免长期外用激素治疗顽固性痒疹。此类患者可考虑给予备用治疗(包括保湿霜)。
系统性激素有效,但因其潜在副作用而不推荐长期应用。
8.2抗组胺药治疗痒疹有效?
尚无高水平证据。其可应用,但并无充分证据。
8.3外用维生素D3治疗痒疹有效?
仅有少数研究评估了外用活性维生素D3疗效。
当外用激素疗效微弱、长期外用激素治疗副作用出现时,可考虑外用维生素D3,虽然并无充分证据支持其应用。
外用活性维生素D3类似物治疗机制:
8.4液氮治疗痒疹有效?
液氮可考虑用于痒疹治疗,但并无充足证据支持其应用。
8.5外用克罗米通治疗痒疹有效?
外用克罗米通可考虑用于痒疹治疗,但并无充足证据支持其应用。
8.6UV光疗治疗痒疹有效?
若症状极顽固时,可考虑UV光疗。
准分子光、沐浴PUVA、NB-UVB、UVA1均有效。
8.7外用及系统免疫抑制剂治疗痒疹有效?
免疫抑制剂(如环孢素)可考虑用于痒疹治疗,但并无充足证据支持其应用。
8.8辣椒素软膏治疗痒疹有效?
反复外用辣椒素软膏或有效,可考虑其应用。
8.9沙利度胺治疗痒疹有效?
可考虑给予小剂量沙利度胺应用,虽然仅适于治疗抵抗且影响日常生活者。用药前应充分告知患者疗效及副作用并签署知情同意书。
8.10抗焦虑药及抗抑郁药治疗痒疹有效?
对其他治疗抵抗者可考虑给予抗抑郁药。但不建议无该药用药经验者使用。
8.11口服盐酸纳呋拉啡治疗痒疹有效?
尚无相关流行病学研究,不推荐应用。
对血液透析和(或)慢性肝病相关痒疹瘙痒,推荐其应用。
8.12系统性抗生素治疗痒疹有效?
大环内酯类抗生素(罗红霉素、克拉霉素)具有抗炎及免疫调节作用。顾及痒疹病理病因,预期其或有效。尚无高质量临床试验证实其疗效。痒疹常治疗抵抗,或可考虑其应用。
8.13外用保湿霜治疗痒疹有效?
尚无证据支持外用保湿霜治疗痒疹有效。有报道示单纯聚乙烯薄膜封包有效。保湿霜封包的疗效尚待证实。
8.14利血平治疗痒疹有效?
有个案报道示利血平治疗多形性慢性痒疹有效,或可考虑其应用。
8.15加巴喷丁及普瑞巴林治疗痒疹有效?
可考虑用于痒疹治疗,但并无充足证据支持其应用。
8.16日本汉方药治疗痒疹有效?
8.17神经妥乐平治疗痒疹有效?
因痒疹常治疗抵抗,可考虑其应用。
8.18伤口敷料治疗痒疹有效?
敷料(聚乙烯薄膜封包、管状绷带湿性敷料、胶带、伤口敷料)或可改善皮肤症状,虽然尚无充足证据支持。可考虑其应用。需小心,相比于不封包时,封包可促进经皮药物吸收。
本文为转载文章,如有侵权请联系作者删除。本文仅供健康科普使用,不能做为诊断、治疗的依据,请谨慎参阅
发表于:2024-11-10